용량성 리액턴스는 커패시터가 커패시터를 통과하는 전류의 흐름에 대해 제공하는 반대입니다. 용량성 리액턴스는 주파수에 따라 다릅니다.
커패시터의 동작은 AC와 DC에 따라 다릅니다. DC 주파수는 0이고 AC 주파수는 명확한 값을 갖기 때문입니다. 커패시터의 리액턴스는 두 경우 모두 다릅니다.
커패시터에 DC 전압을 적용하면 커패시터는 충전 전류를 끌어와 공급 전압까지 충전합니다. 공급 전압이 감소하면 커패시터가 방전되고 커패시터 양단의 전압이 감소합니다.
커패시터에 AC 전압을 적용하면 커패시터 양단의 전압은 일정하지 않고 반 사이클에서는 양수가되고 다음 반 사이클에서는 음의 값이 됩니다. 이러한 조건에서 커패시터는 공급 주파수에 따라 지속적으로 충전 및 방전됩니다.
양의 반주기에서 커패시터는 충전되고 다음 반주기에서 커패시터는 저장된 에너지를 소스에 피드백합니다. 따라서 전체 사이클 동안 커패시터가 소비하는 전력은 0입니다.
커패시터의 내부 임피던스는 충전 및 방전 전류를 제한합니다. 이 내부 임피던스는 축전기의 리액턴스이며, XC 기호로 표시합니다. 단위는 Ohm입니다.

1. 용량성 리액턴스의 주파수 특성
회로의 저항은 주파수에 따라 변하지 않고 저항은 온도 변화에 따라서만 변하며 주파수에 독립적입니다. 그러나 커패시터의 리액턴스는 주파수의 변화에 따라 변경됩니다.
- 주파수와 용량성 리액턴스의 관계
용량성 리액턴스는 주파수에 반비례합니다. 결과적으로 리액턴스는 주파수가 감소함에 따라 증가합니다. 유사하게, 커패시터의 리액턴스는 주파수가 증가함에 따라 감소합니다.

주파수가 증가함에 따라 전하가 한 판에서 다른 판으로 더 빠르게 도달합니다. 따라서 커패시터의 리액턴스는 주파수가 증가함에 따라 감소합니다.
따라서 리액턴스는 주파수에 따라 다릅니다.
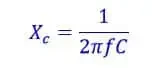
2. Capacitive Reactance의 공식


| Xc | 옴 단위의 용량성 리액턴스 (Ω ) |
| f | 헤르츠의 주파수(Hz) |
| C | 패럿의 커패시턴스 (F) |
- 주파수와 커패시터 전류에 대한 Capacitive Reactance

커패시터의 커패시터의 리액턴스는 주파수에 반비례합니다.
3. Capacitive Reactance 예시
1) 5kHz 주파수에서 그리고 다시 10kHz 주파수에서 110nF 커패시터 값의 리액턴스 구하기
커패시턴스 값 = 110nF = 110 x 10-9 패럿
5kH에서 Xc

10kH에서 Xc

주파수가 5kHz에서 10kHz로 증가하면 리액턴스가 289 Ω에서 144 Ω로 감소합니다. 따라서 커패시터의 리액턴스는 주파수에 반비례합니다.
2) 2uF 커패시터의 리액턴스 값이 100Ω인 주파수는?

3) 리액턴스가 100Ω이고 50Hz 전원에 연결된 경우 커패럿 단위의 커패시터 값

커패시터의 리액턴스는 가변 주파수 공급 장치에 연결될 때 달라지며 커패시터는 이 경우 주파수 제어 가변 저항으로 작동합니다. 1MHz와 같은 매우 높은 주파수에서 커패시터는 리액턴스 값이 낮고 커패시터는 단락처럼 작동합니다. 따라서 정상 상태에서 DC 커패시터는 무한 리액턴스를 가지며 커패시터는 개방 회로와 같이 작동합니다.
'데이터계측분석 > 전기전자 기술자료' 카테고리의 다른 글
| 무선 주파수 간섭(RFI)의 이해 (0) | 2024.08.21 |
|---|---|
| LVDT와 RVDT 구성과 동작방식 (0) | 2024.08.21 |
| 전기 접지의 종류 (0) | 2024.08.20 |
| 4-20mA 전류루프 구성과 동작방식 (0) | 2024.08.20 |
| 밸브의 종류와 동작방식 (0) | 2024.08.19 |